| 选课类别:计划 | 教学类型:理论课 |
| 课程类别:本科计划内课程 | 开课单位:化学物理系 |
| 课程层次:专业基础 | 学分:2.0 |
徐瑞雪老师的《复变函数(化学)》课程由化学专业的复变函数内容精简版组成,以计算为主,实际应用为重点。课程内容主要包括Cauchy积分公式、留数定理和拉普拉斯变换,也加入了Mittag-Leffler展开和Weierstrass因式分解,帮助学生理解和应用复变函数理论。教学风格以板书为主,徐老师上课讲解细致,条理清晰,会提供大量例题,有时会点名回答问题,整体教学水平较高。
作业主要是计算题,量适中,作业交齐能拿满分平时成绩。考试内容与复变函数B有较大区别,侧重于计算能力的考察,考题依赖课堂例题的变式。在平时的学习过程中,多练习中等难度的计算题非常必要。期末考试包括判断题、证明题(如C-R方程应用)、积分题与级数展开等,计算量较大,成绩对细节计算有较高要求。考试前会有习题课帮助学生复习重点内容。
给分厚道,多位学生反馈表示期末考试总评捞分明显,优秀率接近教务处标准上限。即使卷面成绩不理想,作业全交的学生通常也能获得较高的总评分数,这使得选修这门课程不易导致平均成绩下降。
这门课程为化学专业的学生量身定制,内容和难度适中,适合对复变函数理论有需求但深入研究不多的学生。虽然有学生认为数学理论阐述不够深入,但由于课程时间和专业背景的限制,这种安排也是可以理解的。对于想更深入了解数学理论的学生,建议阅读相关参考书籍,如Elias M.Stein的《Complex Analysis》。总体来说,课程体验良好,尤其适合需要应用复变函数理论的学生。
复变函数(化)这门课是基于数学分析B1.B2和线性代数B1来学的。因为授课对象是非数学专业学生,所以重点在于计算,比如柯西积分公式和留数定理等。考试内容也已积分,留数计算,拉普拉斯变换为重点考察对象。
从教学安排来说,徐老师曾经是教复变B的,从2021年秋开始专门课设化院复变课。这两门课整体教学差不多,复变化区别于复变B主要有两点,一是没有在辐角原理后讲解罗歇定理,二是多加了一个Mittag-Leffler展开和Weiestrass因子分解。这么安排教学内容听徐老师讲,主要是将来可能在统计力学等课程中用到。同时这个添加的内容其实是很合理的安排。因为在复变函数的研究中,这门课已经讲解了解析函数的展开,区域内非解析函数在单孤立极点处的展开,但是对于有多个极点的亚纯函数呢?复变B课程并没有给出进一步的讲解,但其实,我们通过留数定理和辐角原理是可以给出这个答案的,尽管理论证明过程比较复杂,但我们也可以得到一个优美的展开。进而我们可以得到Weiestrass因子分解定理。这样一来,关于对于较为简单的复变函数的级数展开这个体系我们就建构完成了。我想徐老师可能也有从这个角度考虑,从而把Mittag-Leffler展开加入课程教学。而罗歇定理主要给我们一种判断零点个数的方法,在本科之后的化院课程中并不是很重要,所以老师对此进行删改。
从考试内容来说,复变化的考试内容没有很基础的计算,像复变B解简单的方程,复数化简等等,但是也没有很难的证明题,基本以计算为主,而且技巧性比较强。题型基本就是C-R方程相关证明题,柯西积分公式计算积分,级数展开,ML相关证明或解答,Laplace变换,留数定理求积分(2021.2022题型)。同学们如果想拿高总评,多刷中等计算题是很必要的。
从给分来说,我是2022秋这门课助教,看到成绩表发现老师的优秀率给到了39%+,达到了教务处非英才班优秀率要求的上限(40%),这一点来说老师还是很赞的,因为很多老师的优秀率是给不满的,甚至有的老师只有20%。所以,根据今年情况来看,同学们选这门课是不会掉很多g的,相反还很有可能拿优秀。不过这门课基本只化院选,其他学院复变B高位替代复变化,选这门课是不能满足复变B的课程要求的。
从教学内容来说,诚然,这门课不太可能把复分析的优美展示给大家,一是只有10周,2学分,另一方面这门课的对象是化院学生,不是数院学生。因此对复变的优美理论感兴趣的同学可能不是非常好。甚至単复变函数的一个重要的核心定理——黎曼映射定理,我们也不能传授给大家,因为这要求的基础太多了,已经严重偏离了我们学习这门课的目标——学会通过复变函数的理论来求解复杂的实积分和微分方程。但是这门课已经把单复变的基础开门石传授给大家,即柯西定理——区域上的解析函数在简单闭曲线上积分为零。虽然课堂上只证明了削弱版本,不过我在习题课上给同学们进行了补充。这也是一个十分优美的结果。学会柯西定理,复变函数的基本理论就跃然纸上。同学们可以自行推导出来很多很多性质,包括但不限于平均值公式,最大模原理等。徐老师的教学希望也是即使同学们将来从事科研哪怕忘了留数定理,但是仍然记得柯西定理,进而有柯西积分公式这就足够了。从这一点来说,这门课我认为是做到了,把柯西定理导出的简单但很重要的结论能够教给同学,进而还教给了同学们如何展开简单函数,如解析函数,有极点的亚纯函数等。有这么一套完整的理论,足以够同学们将来去利用在自己的科研过程中。
综上,我觉得有能力或者对数学感兴趣的同学可以在学习之余去看看复分析,从中你会发现一片广阔的天地。推荐书籍,stein的复分析,科大自己的复分析等。作为这门课助教,尽管可能有点王婆卖瓜自卖自夸的意思,但我最后还是要提一句,欢迎大家来选徐老师的复变函数(化)
这不是复变C,这是复变B+
个人推荐苦练计算,比如把sin(1+i)这种鬼东西展成a+bi。展一个没问题但是一整张卷子都是类似的恶心东西的时候...qwq
作业几乎全是计算题,学啥用啥没大问题,就是很难一次作业一个不错...
还推荐刷科大经典款小黄书题
调分力度很大,卡在94怪我自己写Laplace题的时候把卷积当作卷积的积分来做了...结果根本逆不回去...
这门课是专门给花园开的,所以其内容也比较偏实际应用,教材是严镇军的《数学物理方法》,但上的内容有一定出入(比如保形变换不上,老师还会补充一些内容),所以还需听课。
课讲得还是不错的,内容清晰,会提供大量例题,考题也主要是基于课堂例题的变式。
说说考试,因为只有花园一个班,而且徐老师本身是做计算的大家,因而试题颇有徐老师的个人风格,会注重考查大家的计算能力,但也有考察理解,还请注意。
对于期末考试,提供几点建议:
1.做题锻炼计算能力,如果选的是复变化,上古密卷中复变B的积分题,解方程和个别证明题可以拿来做做,其余的就不必碰了,两门课试卷风格迥异,训练还是以平时的作业和老师的例题为主。
2.老师提及的内容不可忽视,平常老师讲了啥,要考啥,不考啥,补充了啥都应当注意,板书抄一抄也无妨,补充的内容也可能体现在期末考试里,今年某题就把不少人搞翻车了。
3.考试注意策略,不要被某些题一时算不出来就把心态搞崩了,注意这是徐老师的复变化课,思路对结果错是很正常的其实,不妨碍。
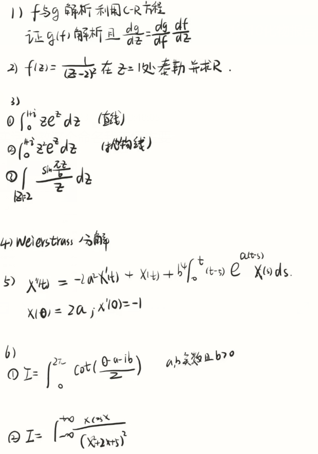
最后附上22年期末考试考察到的知识点,以咨参考:
1.判断题,考察对复变函数相关概念的理解
2.证明题,考察C-R方程的应用
3.积分题,共三道,前两道考察复变函数路径积分(直线、抛物线),第三道考察柯西积分
4.求泰勒级数及收敛半径题
5.求因式分解题,这题属于老师补充的内容,个人认为是全卷难度最大的地方
6.解方程题,考察拉普拉斯变换,用到了卷积
7.积分题,第一道为三角函数积分,第二道为反常积分
课程不难,给分徐老师是严格30(平时)+0.7*期末卷面开根号
期末考试挺没想到的(可能是我没咋上课....)
拉普拉斯变换计算量超大;魏尔斯特拉斯分解一点没学考了12分;留数定理计算量也比较大
我考试之前苦于没有网年题不知道考啥,所以今年就把往年题记下来了嘿嘿
第一大题是15个判断,虽然很懵,但秉持不会即判错的原则,也对了13个这是我没想到的

考完试了,自我感觉良好,先占个坑() 课本是严镇军的《数学物理方法》,感觉这本书写的还行。这门课主要是徐老师上课,徐老师上课全部是板书,讲的速度正好,听课体验非常好。(感觉妮可数学有关的课体验都挺好的,比隔壁物院的课好多了x)第四章和第七章是王老师讲的。第六章不学。徐老师比较喜欢上课叫人上去写题,挺好玩的。据说这门课给分非常奶,先期待一波。作业据说是交了就给满分(?)(所以这就是猫猫你拖欠作业的理由么!!)(bushi) 考试计算量有点大,很多题目结果很丑以至于根本没法验算,我心里也没底。不过据说老师会从草稿纸上捞分,他真的我哭死。哦对了,有一个ML展开定理和Weierstrass因式分解定理是老师上课补充的,课本上没有,并且据说每年都会考,以后的同学们多加留意()
徐瑞雪简直我的超人,平时上课没有好好听过,虽然笔记还是记了,作业也没好好写过,期末突击了三天就可以得到优秀简直想都不敢想。
徐老师讲课还是清楚的,美中不足的是徐老师上课写证明喜欢跳步,可能这就是大佬吧,一走神再抬头黑板上式子已经面目全非了。作业超少,到最后几节课可能还多一点。
没有期中,作业好像是交了就给满平时分,上课可能会视大家困倦程度随机点人答问题,不过不算分也不记名,期末考的和B完全不是一个路数的,要好好看Laplace变换解方程和留数定理,主要是在算数。总评非常能奶。
习题课无力吐槽了,坐第一排什么也看不见,什么也听不见,字写的小得令人发指。
本门课程的主要内容:Cauchy积分公式、留数定理和Laplace变换。通过围道积分的方法,更加方便地计算一些数学分析中比较难算的广义积分和瑕积分,可以此得到平稳随机过程的功率谱密度以及协方差函数;而Laplace变换将会在数理方程的Fourier-Laplace联合变换法中出现(虽然考试不考)。
3. 我高中就知道\(\sqrt{-1} = i\),但是这到底是在干什么?
总之,这门课就像一个黑箱,遵守操作规范就能得到想要的结果,但并不关心它内部的结构或者机理。而这在我看来不是一门数学课该有的样子——数学不是算数。只要把基本概念与它们之间的逻辑联系讲清楚,甚至延伸至其他学科,我认为这样的一门课就是好课,但是复变函数(化学)这门课实在让我无法给出一个较高的评价。
就比如全纯(Holomorphic)函数与解析(Analytic)函数的区别与联系。一个函数是全纯函数,是指它在\(z_0\)的邻域内复可微,holo是指“全”,而morphic表明这个函数“具有一定的形态”,不是随随便便的;而一个函数是解析函数,是指它在\(z_0\)的邻域存在一个多项式级数收敛于它,即“展开”——展开就是“解”,而一个一个拿出来的动作(指留数定理)就叫“析”。这样一来,“全纯和解析是同义词”这件事,就不是那么显然的了,就是需要证明的了。
当然,不能对一名化学老师求全责备。所以这里推荐 Elias M.Stein 的 《Complex Analysis》 和 Tristan Needham 的《复分析:可视化方法》,前者是纯纯的分析学,数学大师会用最优雅的语言告诉你为什么是这样;后者是纯纯的可视化,让你实实在在“看见”这个抽象的平面到平面的奇特映射以及它的惊人性质(比如,复变函数是一个平面向量场)。
这里不得不吐槽一下严镇军老师编写的《数学物理方法》中对\(\sin z,\;\;\cos z\)的定义:竟然是对\(e^{iz} = \sin z + i \cos z\)稍作变换!这一公式的起源明明是级数展开,这里却不用级数形式定义这些初等函数,反而用一个导出公式,更是让这些本来就神神秘秘的复变函数愈发的不可捉摸。
至于老师上课补充的Mittag-Leffler定理、Weierstrass因式分解定理以及利用Cauchy主值积分求实积分,请参考史济怀的《复变函数》,考试也不涉及。
总之,这门课是给化院同学量身定做的,期末唯一一道证明题是“使用Cauchy-Riemann方程证明复合解析函数仍解析”(恕我直言,应该用ε-δ语言来证明)。
单纯的对于复变量函数——作为数学分析和线性代数的补充,还是希望数学方面能够完备一点,也更靠谱一点。
好课 真的捞 感觉去复变B的化学生亏了
不知道怎么给分的 平时交作业 考前复习复习题目就都能做出来 唯一难度是计算能不能一遍全正确 考试比较久远了 好像八十多 总评94
徐老师上课全板书,认真听的话就还算简单,如果玩手机走神就可能听不懂了。期末给分超好,化院的速速选
老师海底捞pro max! 老师上课的讲解很细致,对基础较为薄弱的同学非常友好。 课程内容不多,且比较基础,作业也不多,不会牵扯太多精力。 期末考试和复变B风格相差较大,有十道判断题考察基础概念,大题也涉及到老师上课讲的补充内容,需要留意。 两位助教哥哥都很负责,xygg是我的超人! 考完试都觉得自己要寄了,最后被老师狠狠捞了一把,我直接吹爆!
复变出分了,给老师打一波好评。 本人菜鸟一个,关于课程内容和一些高深的感悟就没有了。有一点就是期末考试考的特别难,最印象深刻的是泰勒展开那道题和平时做的根本就不一样。如果你想拿一个高分的话,你不能只做作业题,要适当的做一些其他的题。感觉课程的整体难度和作业难度都不是很高,主要就是期末考试过于阴间。但事实上,如果不求绩点的话,只需要把作业题一定要都会做,然后考试的时候细心一点。最后,即使卷面分数非常糟糕(我),只要你作业全交,xrx老师一定不会辜负你的努力。
徐瑞雪老师yyds!
上课教材是严镇军《数学物理方法》,但老师上课全部手写板书,现场推导定理,很有条理性,并且会讲解一定的例题。讲例题的时候偶尔会点人回答问题,上课一定要注意听。
作业量适中,以计算题为主,但借了学长书的同学说老师留作业是一届做(部分)偶数题,下一届做(部分)奇数题......
作为化院的数学课,考试计算量巨大,但证明题很少。按助教的说法,这门复变函数还是偏应用的。平时还是要多加练习。
给分简直是海量放水,据查卷的同学说全班最高没到70,然后期末卷面有60+就能拿3.7+......
收获很大,也希望自己有机会在以后还能用到这些知识(
考前有两次习题课,助教很强,会补充一些东西,但字写得实在太小导致体验极差。
这是专门开给化院的课,上课内容大体与复变函数B类似,徐老师是当年的郭奖,课程体验很好(虽然经常下午睡过没去听),不会点名,课程难度也不大。没有期中 重点来了,期末考试我愿称之为复变函数b+,考试的计算量比复变函数B的大的多,不过助教gg说结果占比不大。考试后心情惨淡,总评被大奶。(不过身边有同学1开头的我也不知道为什么。。。)
前半段节奏很慢,通常45分钟能学完一节课的内容
后半段有可能听不懂,建议提前预习
我听不懂只可能是我自己比较菜
课程内容参见复变函数B(毕竟都是两个学分的课嘛)
不过万幸的是考前上课与习题课老师与助教会划考试范围与重点,还是比较NICE的
(特别是对于我这种小菜鸡)
说到考试!!!
只有期末考试,超级刺激
拉普拉斯变换解方程组必考,一定要看把所有的内容看完整!!!
这次考了卷积。如果不认真学的话真就卷了然后寄了[doge]
留数题计算量大且杂,建议积累一波手算的熟练度
说到分数!!!
肯定是调分的,(老师亲口承诺)
最后被捞上了3.7(利益相关)
总体还是非常不错的一门课(化院的必修课你就说你上不上吧)